Estrutura do Grupo Local
Antes de abordarmos concretamente a constituição do Grupo Local é necessário compreender a distinção entre grupos de galáxias e enxames de galáxias. Os grupos de galáxias possuem tipicamente menos de 100 galáxias e um diâmetro típico que ronda os 2Mpc. A massa de um grupo médio é da ordem de 5x1013Mʘ. Os enxames de galáxias possuem mais de 100 membros, podendo mesmo chegar atingir mais de dez mil, distribuindo-se ao longo de uma região do espaço com cerca de 6Mpc de diâmetro. A massa de um enxame é da ordem de 1015 Mʘ. Os grupos de galáxias são habitualmente estruturas de forma irregular, sendo que ao invés, os enxames de galáxias possuem uma fracção significativa com forma regular e aproximadamente esférica.
O Grupo Local. Créditos: Wikipedia
O nosso Grupo Local estende-se ao longo de cerca de 1Mpc de diâmetro, sendo mesmo comparável a um quintal intergalático, se tivermos em consideração as dimensões do Universo. Os seus membros mais luminosos são a Via Láctea e a galáxia de Andrómeda (M31), sendo ambas responsáveis por cerca de 90% da luminosidade total do grupo. O Grupo Local possui uma massa total da ordem de 5x1012Mʘ, sendo que mais de noventa por cento desta massa se encontra sobre a forma de matéria escura.
O Grupo Local é constituído por duas galáxias principais: a Via Láctea e a galáxia de Andrómeda (M31). Para além destas ainda se destacam, pelas suas dimensões, a galáxia do Triângulo (M33) e as duas Nuvens de Magalhães, sendo as galáxias mais luminosas do grupo a seguir à nossa galáxia e à M31. As galáxias anãs possuem uma reduzida luminosidade, encontram-se distribuídas num volume de cerca de 9,5 mil milhões de anos-luz de diâmetro, orbitando em torno das galáxias principais, ou estando isoladas no espaço. As nuvens de gás são outro dos constituintes do Grupo Local, sendo essencialmente constituídas por hidrogénio resultante da injecção de outras galáxias. Supõe-se que a matéria escura é a responsável pela estabilidade do grupo, embora ninguém saiba exactamente o que é esta matéria escura.
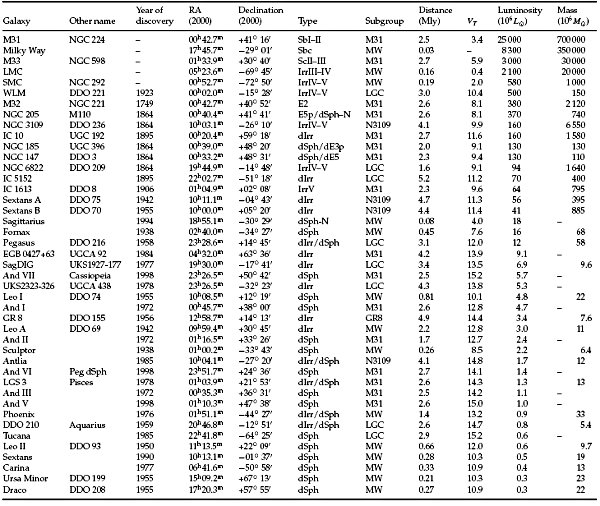
Tal como já fora anteriormente referido, o Grupo Local é constituído por cerca de 40 galáxias, as quais são apresentadas na tabela seguinte, tendo em conta aquelas que se pensa que actualmente são constituintes do Grupo Local:
Créditos: Mateo, Mario L (2006). “Local Group”, from Encyclopedia of Astronomy & Astrophysics. Institute of Physics Publishing Bristol and Philadelphia, ISBN:0333750888. DOI: 10.1888/0333750888/1667, pag.2.
Algumas galáxias pertencentes ao Grupo Local, representadas à escala e aproximadamente ao seu brilho relativo. Créditos: Mateo, Mario L (2006). “Local Group”, from Encyclopedia of Astronomy & Astrophysics. Institute of Physics Publishing Bristol and Philadelphia, ISBN:0333750888. DOI: 10.1888/0333750888/1667, pag.3.


Os Space Scoops continuam a ser públicados, para consultar todos os disponiveis em Português pode seguir para a 






