Primeiro exoplaneta na zona habitável!
2007-04-26

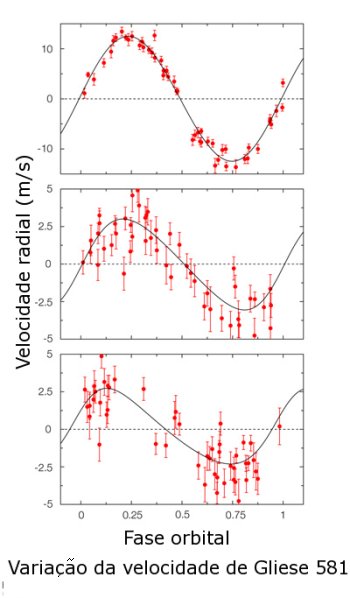
Os painéis mostram as medições da variação da velocidade de cada um dos três planetas que orbitam Gliese 581 e a respectiva curva determinada pelas observações. O painel do topo refere-se ao planeta de 15 massas terrestres (o mais próximo da estrela), o segundo, ao planeta com 5 massas terrestres que se encontra na zona habitável, e o último painel mostra as evidências de um terceiro planeta, com 8 massas terrestres e um período de 84 dias. Crédito: ESO.
planeta extra-solar
Um planeta extra-solar é um planeta que não orbita o nosso Sol.
, que é o menor de todos os planetasUm planeta extra-solar é um planeta que não orbita o nosso Sol.
planeta
Um planeta é um objecto que se forma no disco que circunda uma estrela em formação e cuja massa é superior à de Plutão (1/500 da massa da Terra) e inferior a 10 vezes a massa de Júpiter. Ao contrário das estrelas, os planetas não produzem luz, apenas reflectem a luz da estrela que orbitam.
já descobertos a orbitar estrelasUm planeta é um objecto que se forma no disco que circunda uma estrela em formação e cuja massa é superior à de Plutão (1/500 da massa da Terra) e inferior a 10 vezes a massa de Júpiter. Ao contrário das estrelas, os planetas não produzem luz, apenas reflectem a luz da estrela que orbitam.
estrela
Uma estrela é um objecto celeste gasoso que gera energia no seu núcleo através de reacções de fusão nuclear. Para que tal possa suceder, é necessário que o objecto possua uma massa superior a 8% da massa do Sol. Existem vários tipos de estrelas, de acordo com as suas temperaturas efectivas, cores, idades e composição química.
que não o SolUma estrela é um objecto celeste gasoso que gera energia no seu núcleo através de reacções de fusão nuclear. Para que tal possa suceder, é necessário que o objecto possua uma massa superior a 8% da massa do Sol. Existem vários tipos de estrelas, de acordo com as suas temperaturas efectivas, cores, idades e composição química.
Sol
O Sol é a estrela nossa vizinha, que se encontra no centro do Sistema Solar. Trata-se de uma estrela anã adulta (dita da sequência principal) de classe espectral G. A temperatura na sua superfície é aproximadamente 5800 graus centígrados e o seu raio atinge os 700 mil quilómetros.
. A estrela mãe é uma estrela anãO Sol é a estrela nossa vizinha, que se encontra no centro do Sistema Solar. Trata-se de uma estrela anã adulta (dita da sequência principal) de classe espectral G. A temperatura na sua superfície é aproximadamente 5800 graus centígrados e o seu raio atinge os 700 mil quilómetros.
estrela anã
Uma estrela anã, também dita estrela da sequência principal, é uma estrela não evoluída, que ainda se encontra na fase de fusão do hidrogénio em hélio, no seu núcleo.
vermelha, chamada Gliese 581 - é uma estrela mais fria e pequena que o Sol, logo menos luminosa. O exoplaneta, designado por Gliese 581c, tem uma órbitaUma estrela anã, também dita estrela da sequência principal, é uma estrela não evoluída, que ainda se encontra na fase de fusão do hidrogénio em hélio, no seu núcleo.
órbita
A órbita de um corpo em movimento é a trajectória que o corpo percorre no espaço.
14 vezes mais próxima da estrela que a órbita da Terra à volta do Sol, e cumpre uma volta completa em apenas 13 dias. A sua massaA órbita de um corpo em movimento é a trajectória que o corpo percorre no espaço.
massa
A massa é uma medida da quantidade de matéria de um dado corpo.
é aproximadamente 5 vezes a massa da Terra. Mas o mais extraordinário nesta descoberta é o facto de o planeta estar localizado na zona habitávelA massa é uma medida da quantidade de matéria de um dado corpo.
Zona Habitável
A zona habitável de uma estrela ou de um sistema solar é a região, definida em termos da distância à estrela, que é compatível com a existência de água no estado líquido na superfície de um planeta aí colocado.
- uma região à volta da estrela onde as condições permitem a existência de água líquida.
A zona habitável de uma estrela ou de um sistema solar é a região, definida em termos da distância à estrela, que é compatível com a existência de água no estado líquido na superfície de um planeta aí colocado.
Os investigadores estimaram que a temperatura média deste exoplaneta situa-se entre os 0 e os 40°C o que permite que a água se encontre no estado líquido. Os modelos prevêem que planetas com o raio do exoplaneta, estimado em 1,5 vezes o raio da Terra, devem ser rochosos, ou cobertos por oceanos. Estas características tornam Gliese 581c um forte candidato na procura de vida noutros sistemas estelares.
Gliese 581, uma estrela anã vermelha, é uma das 100 estrelas mais próximas de nós e encontra-se a apenas 20,5 anos-luz
ano-luz (al)
O ano-luz (al) é uma unidade de distância igual a 9,467305 x 1012 km, que corresponde à distância percorrida pela luz, no vácuo, durante um ano.
, na constelaçãoO ano-luz (al) é uma unidade de distância igual a 9,467305 x 1012 km, que corresponde à distância percorrida pela luz, no vácuo, durante um ano.
constelação
Designa-se por constelação cada uma das 88 regiões em que se divide a abóbada celeste, por convenção de 1922.
da Balança. A sua massa é um terço da massa do SolDesigna-se por constelação cada uma das 88 regiões em que se divide a abóbada celeste, por convenção de 1922.
massa solar
Massa solar é a quantidade de massa existente no Sol e, simultaneamente, a unidade na qual os astrónomos exprimem as massas das estrelas, nebulosas e galáxias. Uma massa solar é igual a 1,989x1030 kg.
e a sua luminosidadeMassa solar é a quantidade de massa existente no Sol e, simultaneamente, a unidade na qual os astrónomos exprimem as massas das estrelas, nebulosas e galáxias. Uma massa solar é igual a 1,989x1030 kg.
luminosidade
A luminosidade (L) é a quantidade de energia que um objecto celeste emite por unidade de tempo e em determinado comprimento de onda, ou em determinada banda de comprimentos de onda.
cerca de 50 vezes menor que a luminosidade solar. As estrelas anãs vermelhas são as estrelas mais comuns da nossa GaláxiaA luminosidade (L) é a quantidade de energia que um objecto celeste emite por unidade de tempo e em determinado comprimento de onda, ou em determinada banda de comprimentos de onda.
Via Láctea
A Via Láctea é a galáxia de que faz parte o nosso Sistema Solar. Trata-se de uma galáxia espiral gigante, com um diâmetro de cerca de 160 mil anos-luz e uma massa da ordem de 100 mil milhões de vezes a massa do Sol.
- das 100 estrelas mais próximas do Sol, 80 pertencem a esta classe.
A Via Láctea é a galáxia de que faz parte o nosso Sistema Solar. Trata-se de uma galáxia espiral gigante, com um diâmetro de cerca de 160 mil anos-luz e uma massa da ordem de 100 mil milhões de vezes a massa do Sol.
As estrelas anãs vermelhas são excelentes alvos na procura de planetas de pouca massa, onde talvez possa existir água, porque emitem menos luz e a sua zona habitável é muito mais próxima da estrela. Pelo método das velocidades radiais, é mais fácil detectar planetas muito próximos das estrelas.
Há dois anos, a mesma equipa de astrónomos descobriu um outro planeta em torno de Gliese 581. Esse exoplaneta tem 15 vezes a massa da Terra, ou seja, é comparável a Neptuno
Neptuno
Neptuno é, a maior parte do tempo, o oitavo planeta do Sistema Solar a contar do Sol, mas por vezes é o nono, quando Plutão, na sua órbita excêntrica, se aproxima mais do Sol. Neptuno, de cor azulada devido à presença de metano na sua atmosfera, possui uma atmosfera onde ocorrem tempestades e ventos violentos. Com um diâmetro cerca de 4 vezes o da Terra, Neptuno é o menor e mais longíquo dos planetas gigantes gasosos.
, e orbita a estrela em 5,4 dias. Já nessa altura os dados indicaram a possibilidade de haver mais planetas naquele sistema estelar. Observações subsequentes revelaram a nova super-Terra e indicam ainda a presença de mais um planeta, com cerca de 8 vezes a massa da Terra e com um período orbitalNeptuno é, a maior parte do tempo, o oitavo planeta do Sistema Solar a contar do Sol, mas por vezes é o nono, quando Plutão, na sua órbita excêntrica, se aproxima mais do Sol. Neptuno, de cor azulada devido à presença de metano na sua atmosfera, possui uma atmosfera onde ocorrem tempestades e ventos violentos. Com um diâmetro cerca de 4 vezes o da Terra, Neptuno é o menor e mais longíquo dos planetas gigantes gasosos.
período orbital
O tempo necessário para que um corpo descreva uma órbita completa e fechada em torno de outro corpo.
de 84 dias.
O tempo necessário para que um corpo descreva uma órbita completa e fechada em torno de outro corpo.
As observações que levaram à descoberta da super-Terra foram realizadas com o espectrógrafo HARPS (do inglês High Accuracy Radial Velocity for Planetary Searcher) acoplado ao telescópio de 3,6 m do ESO
European Southern Observatory (ESO)
O Observatório Europeu do Sul é uma organização europeia de Astronomia para o estudo do céu austral fundada em 1962. Conta actualmente com a participação de 10 países europeus e ainda do Chile. Portugal tornou-se membro do ESO em 1 de Janeiro de 2001, no seguimento de um acordo de cooperação que durou cerca de 10 anos.
, no Observatório de La Silla (Chile). O HARPS consegue medir velocidades com uma precisão superior a um metro por segundo. As variações de velocidades detectadas nesta descoberta andam à volta de 2 a 3 m/s, o que corresponde a 9km/h - a velocidade de uma pessoa a andar apressadamente!
O Observatório Europeu do Sul é uma organização europeia de Astronomia para o estudo do céu austral fundada em 1962. Conta actualmente com a participação de 10 países europeus e ainda do Chile. Portugal tornou-se membro do ESO em 1 de Janeiro de 2001, no seguimento de um acordo de cooperação que durou cerca de 10 anos.
Este estudo encontra-se descrito numa carta submetida à revista científica Astronomy and Astrophysics, tendo como primeiro autor S. Udry, do Observatório de Geneva (Suíça). A equipa inclui o astrofísico Xavier Bonfils, que é actualmente investigador no Centro de Astronomia e Astrofísica da Universidade de Lisboa - CAAUL, no Observatório de Lisboa.
Fonte da notícia: http://www.eso.org/outreach/press-rel/pr-2007/pr-22-07.html


Os Space Scoops continuam a ser públicados, para consultar todos os disponiveis em Português pode seguir para a 




