A menor estrela que se conhece
2005-03-11

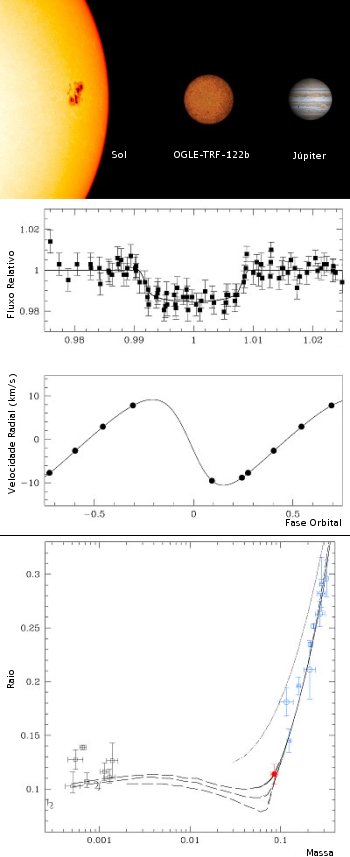
Em cima: tamanhos relativos do Sol, de OGLE-TR-122b e de Júpiter. No meio: o painel de cima mostra a diminuição de brilho de OGLE-TR-122, tal como foi medida pelo OGLE; o painel de baixo mostra a variação da velocidade radial de OGLE-TR-122, tal como foi medida pelo FLAMES, no VLT. Em baixo: relação entre a massa e o raio para estrelas de pequena massa (pontos azuis) e para planetas (pontos a preto), expressa em unidades solares; a estrela OGLE-TR-122b está indicada pelo ponto vermelho; as várias linhas representam modelos teóricos calculados por G. Chabrier e colegas. Crédito: ESO.
efeito de microlente gravitacional
O efeito de microlente gravitacional é um caso particular do efeito de lente gravitacional - a deflexão da luz provocada pelo campo gravitacional de um objecto com massa que se encontra entre o observador e a fonte de luz. Chama-se microlente gravitacional quando não há distorção na imagem da fonte de luz, mas esta aumenta o seu brilho. Por exemplo, se uma pequena estrela próxima de nós passar exactamente entre nós e uma outra estrela mais distante, o campo gravitacional da estrela mais próxima actua como uma microlente e foca a luz da estrela mais distante, aumentando o seu brilho.
, através da monitorização do brilhoO efeito de microlente gravitacional é um caso particular do efeito de lente gravitacional - a deflexão da luz provocada pelo campo gravitacional de um objecto com massa que se encontra entre o observador e a fonte de luz. Chama-se microlente gravitacional quando não há distorção na imagem da fonte de luz, mas esta aumenta o seu brilho. Por exemplo, se uma pequena estrela próxima de nós passar exactamente entre nós e uma outra estrela mais distante, o campo gravitacional da estrela mais próxima actua como uma microlente e foca a luz da estrela mais distante, aumentando o seu brilho.
brilho
O brilho de um astro refere-se à quantidade de luz que dele provém, ou seja, a quantidade de energia por ele emitida por unidade de área por unidade de tempo. Dado que o brilho observado, ou medido, depende da distância ao objecto, distingue-se o brilho aparente (quando medido a uma determinada distância), do brilho intrínseco (conceptualmente medido na supefície do próprio astro).
de um elevado número de estrelasO brilho de um astro refere-se à quantidade de luz que dele provém, ou seja, a quantidade de energia por ele emitida por unidade de área por unidade de tempo. Dado que o brilho observado, ou medido, depende da distância ao objecto, distingue-se o brilho aparente (quando medido a uma determinada distância), do brilho intrínseco (conceptualmente medido na supefície do próprio astro).
estrela
Uma estrela é um objecto celeste gasoso que gera energia no seu núcleo através de reacções de fusão nuclear. Para que tal possa suceder, é necessário que o objecto possua uma massa superior a 8% da massa do Sol. Existem vários tipos de estrelas, de acordo com as suas temperaturas efectivas, cores, idades e composição química.
, durante um longo período de tempo. Nos últimos anos, também inclui a procura de pequenos “vales” nas curvas de luz das estrelas, que possam ser produzidos pelo trânsitoUma estrela é um objecto celeste gasoso que gera energia no seu núcleo através de reacções de fusão nuclear. Para que tal possa suceder, é necessário que o objecto possua uma massa superior a 8% da massa do Sol. Existem vários tipos de estrelas, de acordo com as suas temperaturas efectivas, cores, idades e composição química.
trânsito
Designa-se por trânsito a passagem de um objecto astronómico à frente do disco de um objecto maior e mais longínquo. Por exemplo, o trânsito de Vénus diante do Sol.
regular de pequenos objectos que orbitem à sua volta (pequenas estrelas, anãs castanhasDesigna-se por trânsito a passagem de um objecto astronómico à frente do disco de um objecto maior e mais longínquo. Por exemplo, o trânsito de Vénus diante do Sol.
anã castanha
A anã castanha é uma estrela falhada cuja massa é insuficiente para permitir a fusão nuclear do hidrogénio em hélio no seu centro. No início das suas vidas, as anãs castanhas têm a fusão de deutério no seu núcleo central. Mesmo depois de esgotarem o deutério, as anãs castanhas radiam por conversão de energia potencial gravítica em calor e, como tal, emitem fortemente no domínio do infravermelho. De acordo com modelos, a massa máxima que uma anã castanha pode ter é de 0,08 massas solares (ou 80 massas de Júpiter). Estes objectos representam o elo que falta entre as estrelas de pequena massa e os planetas gasosos gigantes como Júpiter.
, planetas do tipo de JúpiterA anã castanha é uma estrela falhada cuja massa é insuficiente para permitir a fusão nuclear do hidrogénio em hélio no seu centro. No início das suas vidas, as anãs castanhas têm a fusão de deutério no seu núcleo central. Mesmo depois de esgotarem o deutério, as anãs castanhas radiam por conversão de energia potencial gravítica em calor e, como tal, emitem fortemente no domínio do infravermelho. De acordo com modelos, a massa máxima que uma anã castanha pode ter é de 0,08 massas solares (ou 80 massas de Júpiter). Estes objectos representam o elo que falta entre as estrelas de pequena massa e os planetas gasosos gigantes como Júpiter.
planeta joviano
Designam-se por planetas jovianos aqueles que se assemelham a Júpiter, ou seja, planetas gigantes com superfícies gasosas. No Sistema Solar, são planetas jovianos Júpiter, Saturno, Úrano e Neptuno.
). A natureza dos objectos que transitam a estrela é estabelecida posteriormente com observações subsequentes da velocidade radial da estrela principal.
Designam-se por planetas jovianos aqueles que se assemelham a Júpiter, ou seja, planetas gigantes com superfícies gasosas. No Sistema Solar, são planetas jovianos Júpiter, Saturno, Úrano e Neptuno.
Uma equipa de astrónomos seleccionou 60 estrelas do levantamento OGLE, candidatas a possuírem objectos a orbitarem à sua volta, e mediu as suas velocidades radiais com uma precisão de 50 m/s. As observações foram realizadas com o espectrógrafo FLAMES/UVES, no telescópio Kueyen, de 8,2m, do VLT
Very Large Telescope (VLT)
O Very Large Telescope é um observatório operado pelo Observatório Europeu do Sul (ESO) e localizado no Cerro Paranal, no deserto de Atacama, no Chile. O VLT é composto por 4 telescópios de 8,2 m de diâmetro que podem trabalhar simultaneamente, constituindo um interferómetro óptico, ou independentemente.
(ESOO Very Large Telescope é um observatório operado pelo Observatório Europeu do Sul (ESO) e localizado no Cerro Paranal, no deserto de Atacama, no Chile. O VLT é composto por 4 telescópios de 8,2 m de diâmetro que podem trabalhar simultaneamente, constituindo um interferómetro óptico, ou independentemente.
European Southern Observatory (ESO)
O Observatório Europeu do Sul é uma organização europeia de Astronomia para o estudo do céu austral fundada em 1962. Conta actualmente com a participação de 10 países europeus e ainda do Chile. Portugal tornou-se membro do ESO em 1 de Janeiro de 2001, no seguimento de um acordo de cooperação que durou cerca de 10 anos.
).
O Observatório Europeu do Sul é uma organização europeia de Astronomia para o estudo do céu austral fundada em 1962. Conta actualmente com a participação de 10 países europeus e ainda do Chile. Portugal tornou-se membro do ESO em 1 de Janeiro de 2001, no seguimento de um acordo de cooperação que durou cerca de 10 anos.
Este programa de observações levou à descoberta de mais dois exoplanetas
planeta extra-solar
Um planeta extra-solar é um planeta que não orbita o nosso Sol.
, mas a maioria das candidatas eram sistemas binários eclipsantesUm planeta extra-solar é um planeta que não orbita o nosso Sol.
sistema binário eclipsante
Designa-se por sistema binário eclipsante um sistema binário no qual um dos dois corpos passa regularmente em frente ao outro, quando observado a partir da Terra. O binário eclipsante mais conhecido é Algol.
, ou seja, na maior parte das vezes, estrelas de pequena massaDesigna-se por sistema binário eclipsante um sistema binário no qual um dos dois corpos passa regularmente em frente ao outro, quando observado a partir da Terra. O binário eclipsante mais conhecido é Algol.
massa
A massa é uma medida da quantidade de matéria de um dado corpo.
a passarem à frente de uma estrela tipo do SolA massa é uma medida da quantidade de matéria de um dado corpo.
Sol
O Sol é a estrela nossa vizinha, que se encontra no centro do Sistema Solar. Trata-se de uma estrela anã adulta (dita da sequência principal) de classe espectral G. A temperatura na sua superfície é aproximadamente 5800 graus centígrados e o seu raio atinge os 700 mil quilómetros.
.
O Sol é a estrela nossa vizinha, que se encontra no centro do Sistema Solar. Trata-se de uma estrela anã adulta (dita da sequência principal) de classe espectral G. A temperatura na sua superfície é aproximadamente 5800 graus centígrados e o seu raio atinge os 700 mil quilómetros.
Até recentemente, existiam poucas observações e consequentemente, pouca informação sobre estrelas de pequena massa. Apenas se sabe o valor exacto do raio de 4 estrelas com massa inferior a um terço da massa do Sol
massa solar
Massa solar é a quantidade de massa existente no Sol e, simultaneamente, a unidade na qual os astrónomos exprimem as massas das estrelas, nebulosas e galáxias. Uma massa solar é igual a 1,989x1030 kg.
e não se sabe com precisão o raio de nenhuma estrela com massa inferior a um oitavo da massa solar.
Massa solar é a quantidade de massa existente no Sol e, simultaneamente, a unidade na qual os astrónomos exprimem as massas das estrelas, nebulosas e galáxias. Uma massa solar é igual a 1,989x1030 kg.
Este novo conjunto de observações levou à descoberta de sete novos sistemas de binários, cuja estrela companheira tem menos de um terço da massa do Sol. E uma destas estrelas, companheira de OGLE-TR-122, ganhou o estatuto da menor estrela que se conhece!
O brilho de OGLE-TR-122 diminui 1,5%, em cada 7 dias 6 horas e 27 minutos, durante cerca de 3 horas. A variação da velocidade radial durante esse período é de cerca de 20 km/s. É um claro sinal que a estrela a orbitar OGLE-TR-122, designada por OGLE-TR-122b, é uma estrela de massa muito pequena, muito próxima do limite da queima do hidrogénio
combustão de hidrogénio
Designa-se por combustão, ou queima, de hidrogénio o processo de fusão nuclear no qual núcleos de hidrogénio colidem para formar núcleos de hélio. O termo "combustão" é, neste contexto, um abuso de linguagem introduzido pelos astrónomos profissionais. Todas as estrelas que nascem com massa superior a 0,08 vezes a massa do Sol queimam hidrogénio.
.
Designa-se por combustão, ou queima, de hidrogénio o processo de fusão nuclear no qual núcleos de hidrogénio colidem para formar núcleos de hélio. O termo "combustão" é, neste contexto, um abuso de linguagem introduzido pelos astrónomos profissionais. Todas as estrelas que nascem com massa superior a 0,08 vezes a massa do Sol queimam hidrogénio.
Os astrónomos estimam que OGLE-TR-122b tem uma massa 1/11 da massa do Sol, e um diâmetro 1/8 do diâmetro do Sol. Ou seja, a estrela tem 96 vezes a massa de Júpiter
Júpiter
Júpiter é o quinto planeta mais próximo do Sol. Com um diâmetro cerca de 11 vezes maior do que a Terra e uma massa mais de 300 vezes superior, é o maior planeta do Sistema Solar e o primeiro dos planetas gigantes gasosos.
– o maior planetaJúpiter é o quinto planeta mais próximo do Sol. Com um diâmetro cerca de 11 vezes maior do que a Terra e uma massa mais de 300 vezes superior, é o maior planeta do Sistema Solar e o primeiro dos planetas gigantes gasosos.
planeta
Um planeta é um objecto que se forma no disco que circunda uma estrela em formação e cuja massa é superior à de Plutão (1/500 da massa da Terra) e inferior a 10 vezes a massa de Júpiter. Ao contrário das estrelas, os planetas não produzem luz, apenas reflectem a luz da estrela que orbitam.
do nosso Sistema SolarUm planeta é um objecto que se forma no disco que circunda uma estrela em formação e cuja massa é superior à de Plutão (1/500 da massa da Terra) e inferior a 10 vezes a massa de Júpiter. Ao contrário das estrelas, os planetas não produzem luz, apenas reflectem a luz da estrela que orbitam.
Sistema Solar
O Sistema Solar é constituído pelo Sol e por todos os objectos que lhe estão gravitacionalmente ligados: planetas e suas luas, asteróides, cometas, material interplanetário.
– mas é apenas 16% maior em dimensão do que o planeta gigante!
O Sistema Solar é constituído pelo Sol e por todos os objectos que lhe estão gravitacionalmente ligados: planetas e suas luas, asteróides, cometas, material interplanetário.
A densidade
densidade
Em Astrofísica, densidade é o mesmo que massa volúmica: é a massa por unidade de volume.
desta estrela é 50 vezes a densidade do Sol. Como todas as estrelas, OGLE-TR-122b produz energia no seu interior através de reacções nucleares. O facto de ter uma massa tão pequena faz com que a sua produção de energia seja muito menor quando comparada com estrelas do tipo do Sol.
Em Astrofísica, densidade é o mesmo que massa volúmica: é a massa por unidade de volume.
Ainda mais incrível é comparar OGLE-TR-122b com exoplanetas gigantes que se conhecem, os chamados Júpiteres quentes, cujas dimensões chegam a ser 30% superiores a Júpiter – o que os faz serem substancialmente maiores do que OGLE-TR-122b. Na procura de exoplanetas pelo método do trânsito, há que conseguir distinguir estrelas de massa muito pequena, pois estas são comuns.
Os resultados desta investigação serão publicados, em breve, numa carta ao editor da revista científica Astronomy & Astrophysics. A equipa de investigadores é composta por: F. Pont, M. Mayor, D. Queloz e S. Udry, do Observatório de Genebra, Suíça; C. Melo, do ESO-Chile; F. Bouchy, do Observatório Astronómico de Marselha, França; e N. Santos, do Observatório Astronómico de Lisboa.
Fonte da notícia: http://www.eso.org/outreach/press-rel/pr-2005/pr-05-05.html


Os Space Scoops continuam a ser públicados, para consultar todos os disponiveis em Português pode seguir para a 




